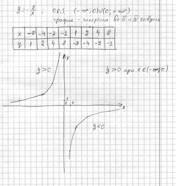
Построить график функции 8 x