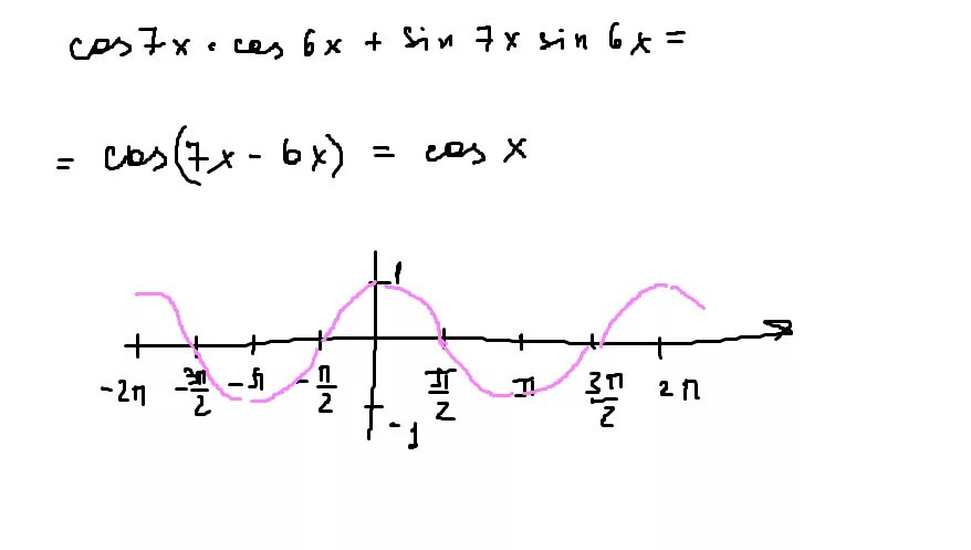
Построить график функции у 6 7