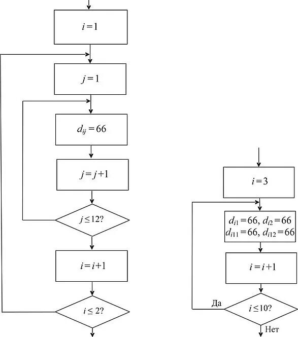
Повторяющийся алгоритм