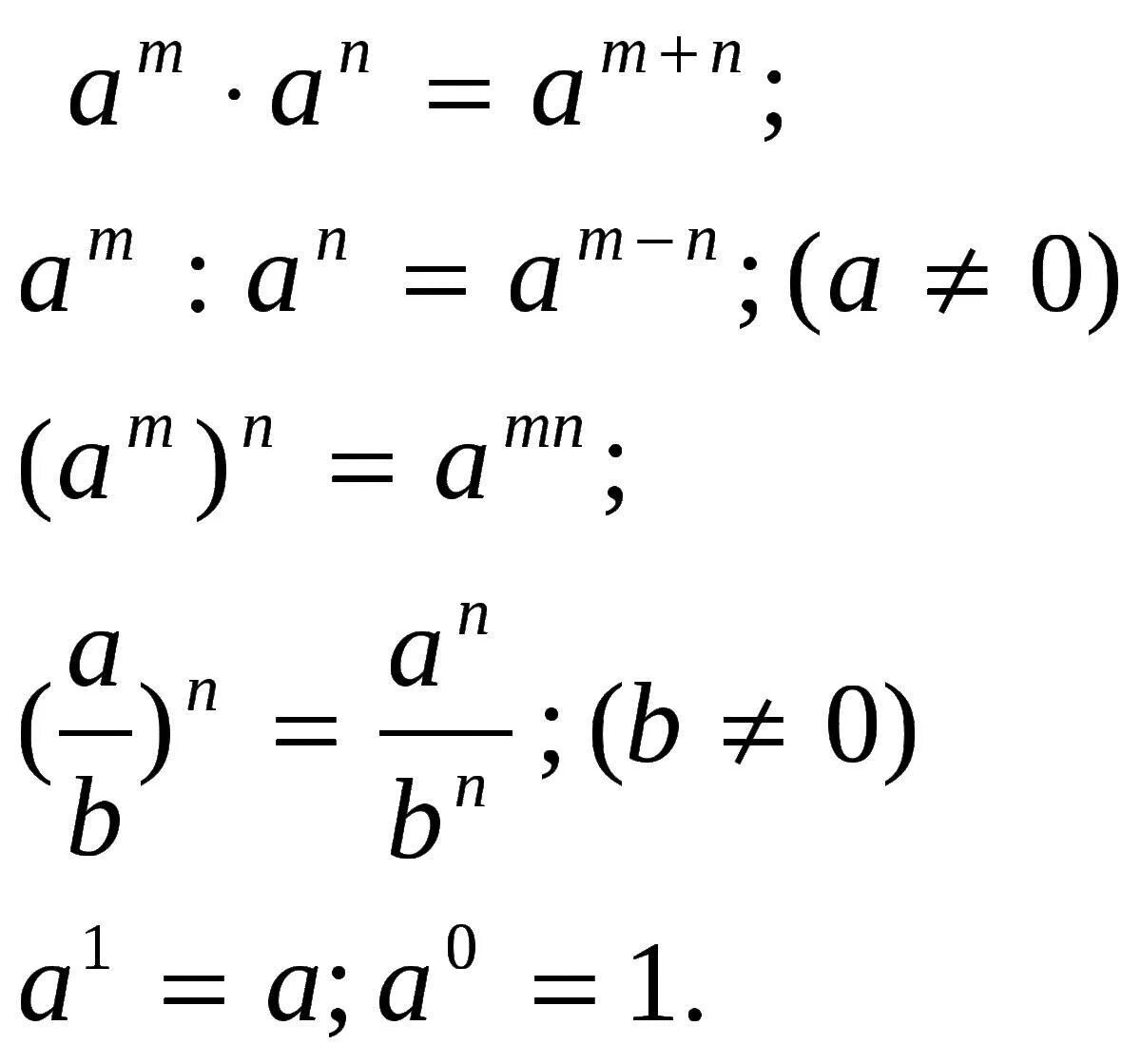
Правила чисел со степенями