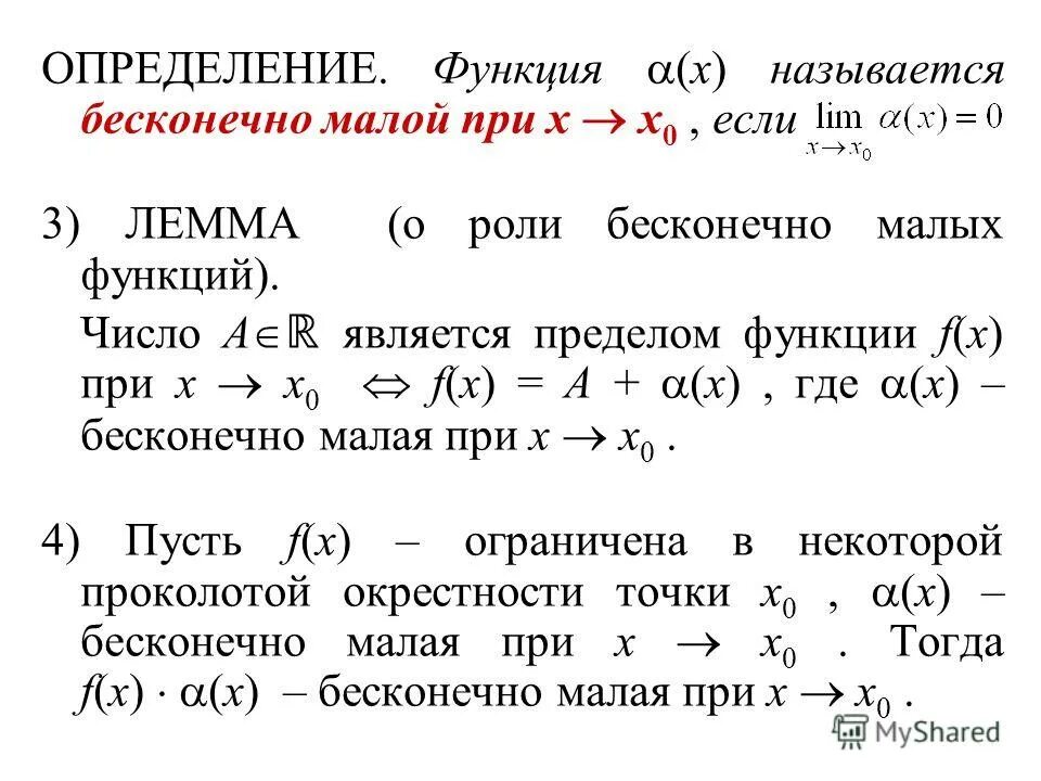
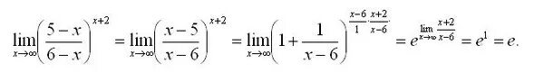
Предел функции в степени функции