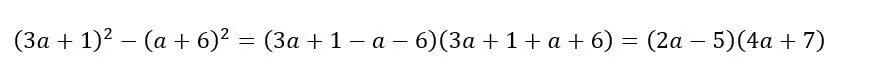
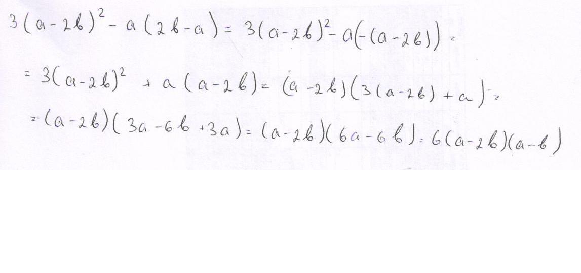
Представьте в виде произведения выражение 2а 1