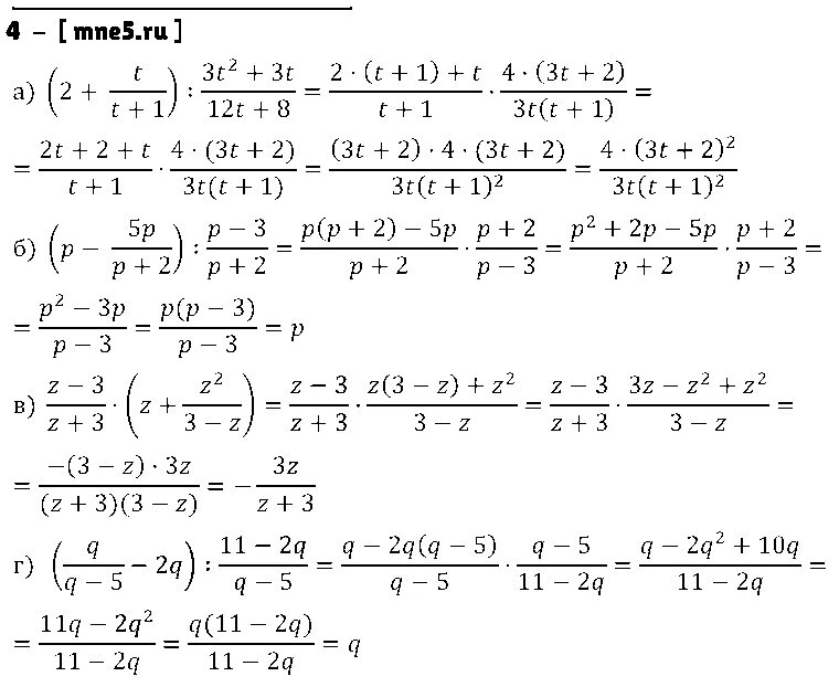
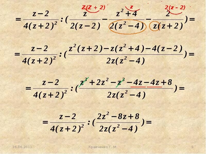
Преобразование 8 класс