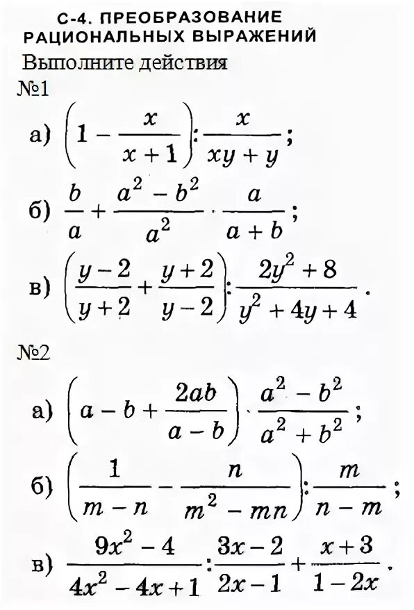
Преобразование выражений 7 класс алгебра примеры