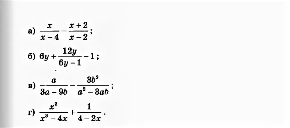
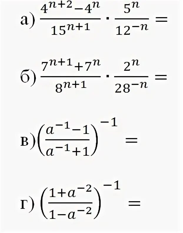
Преобразуйте в дробь выражение 15a b 12a