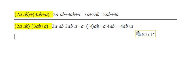
Преобразуйте в многочлен ab 1 2