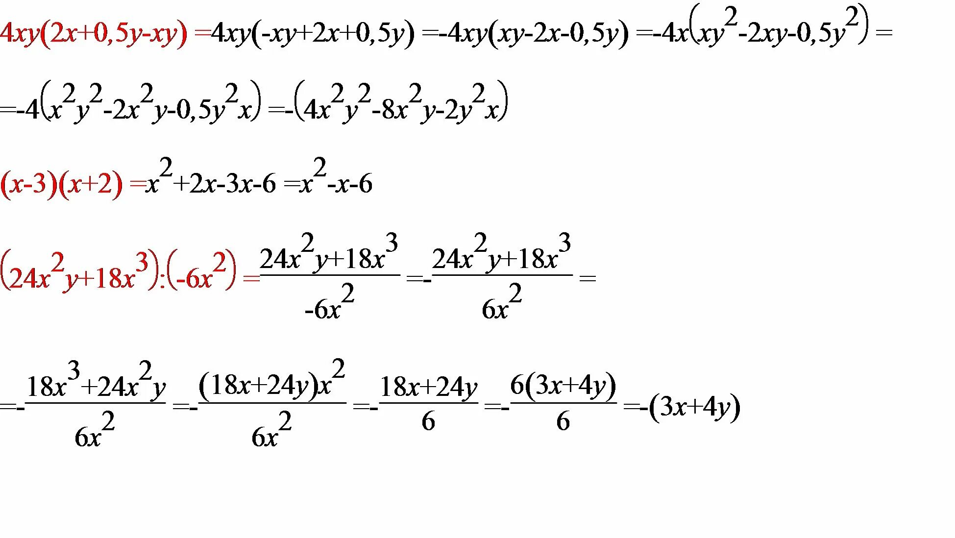
Преобразуйте в многочлен y 3 2