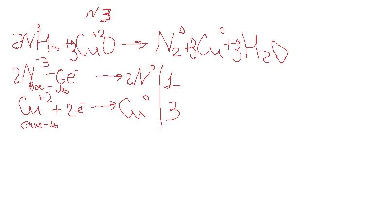
Превращение si sio2 na2sio3