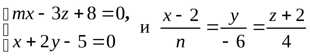
При каких значениях прямые параллельны