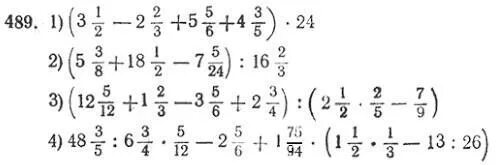
Пример с несколькими ответами