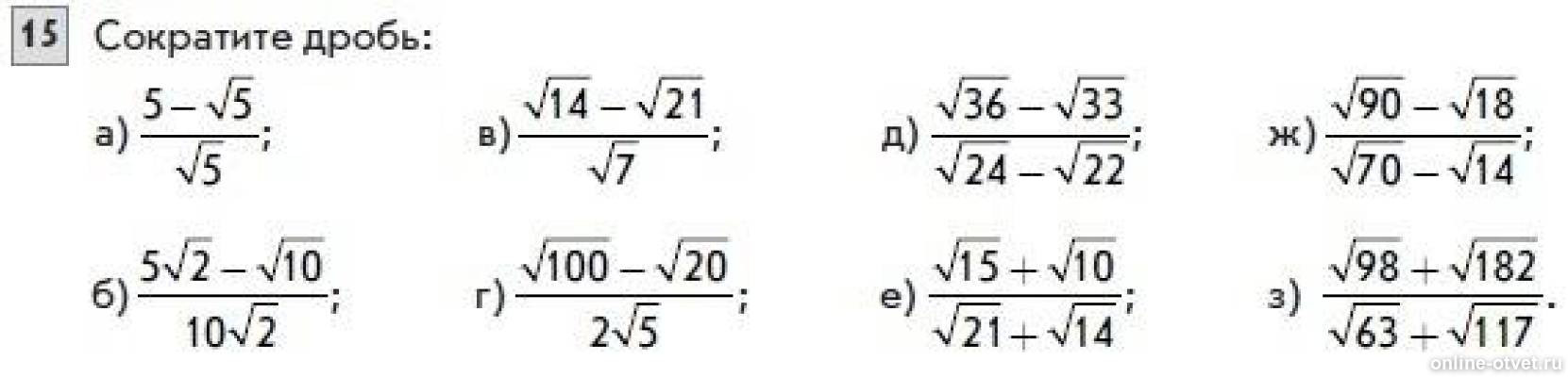
Пример с ответом 14