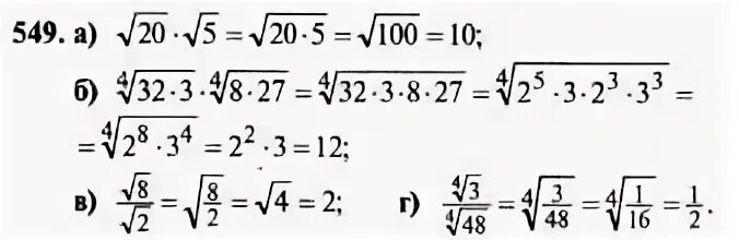
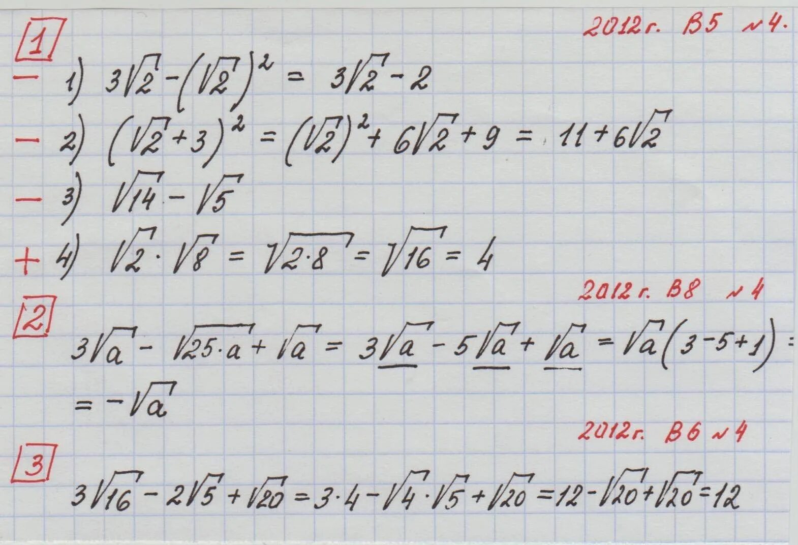
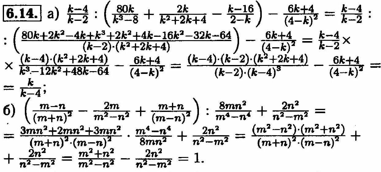
Примеры 9 класс с ответами и решением