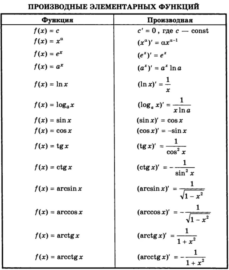
Примеры некоторых функций