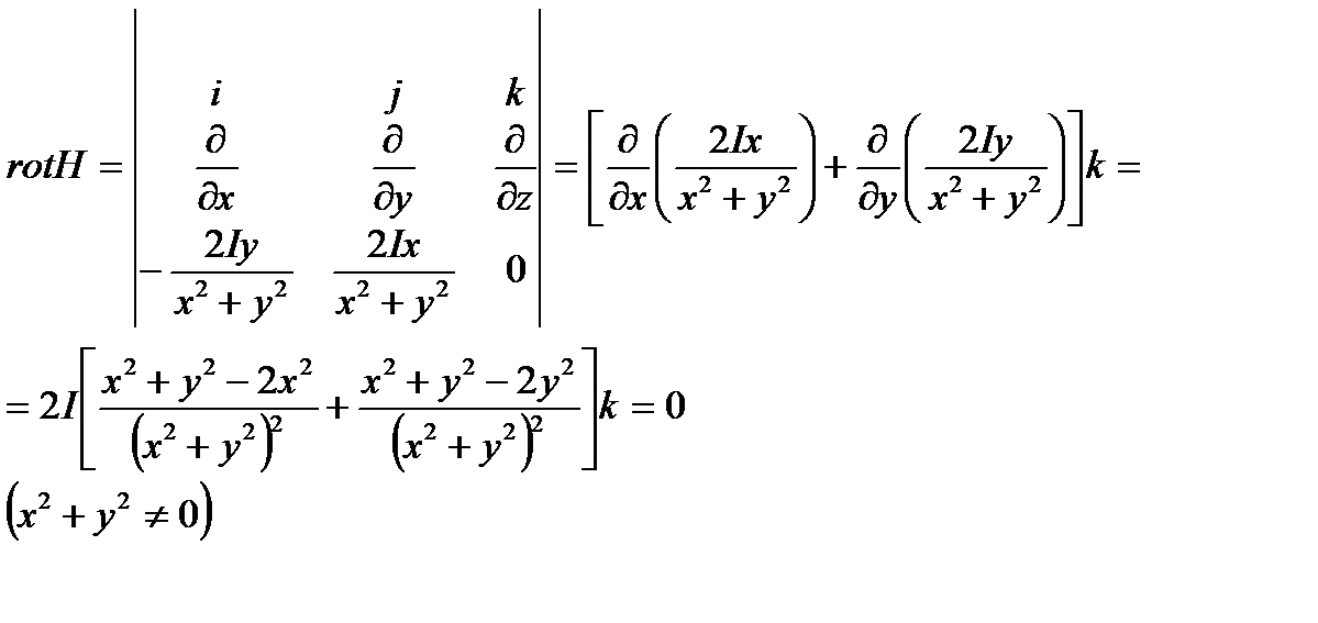
Примеры ротора