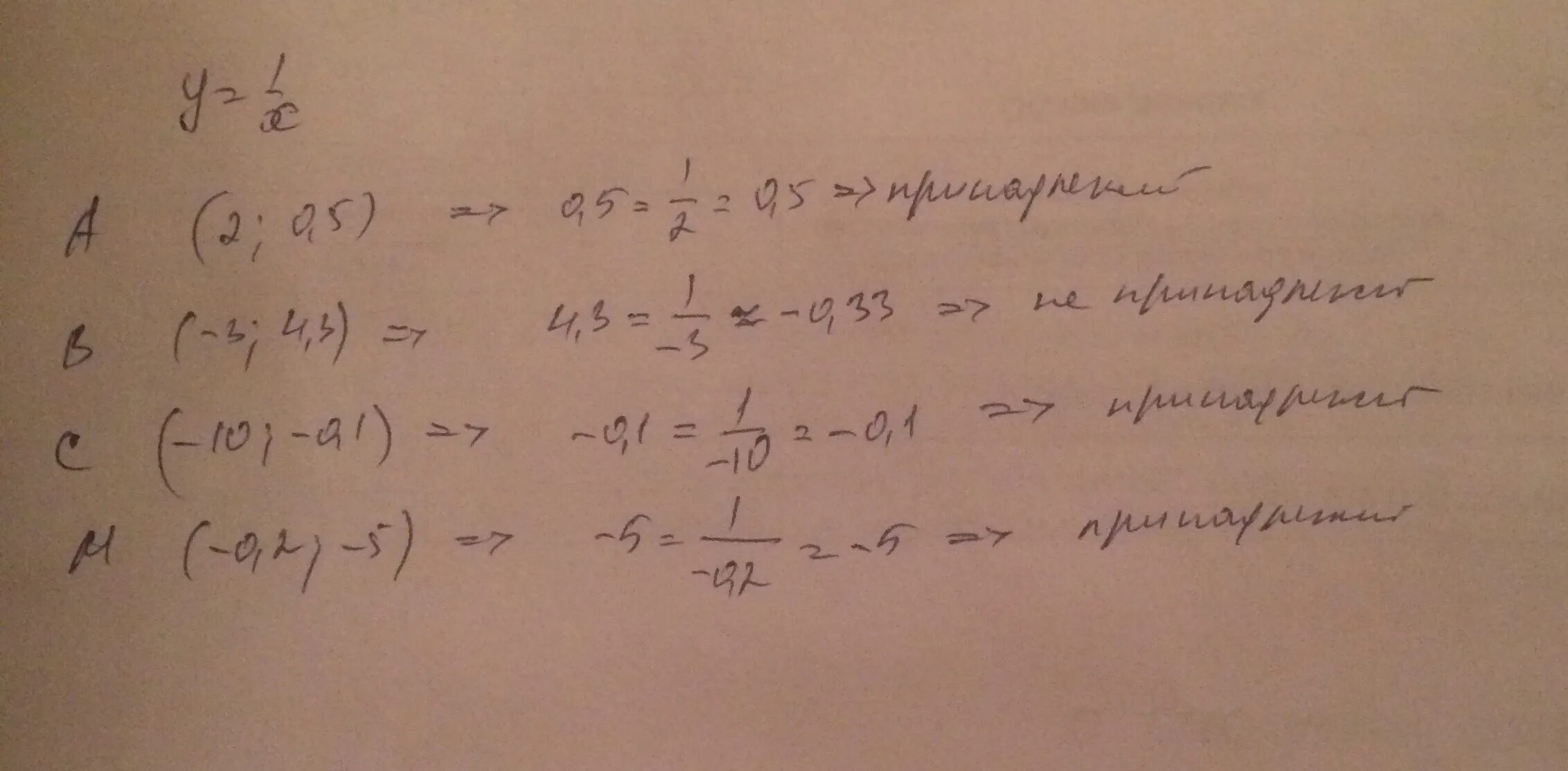
Принадлежит ли графику функции y 4 х