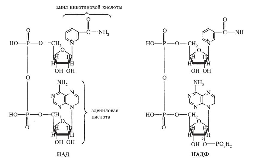
Происходит образование надф н2