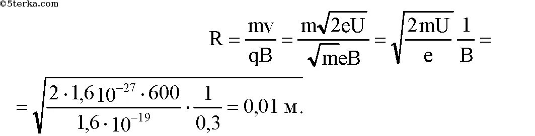
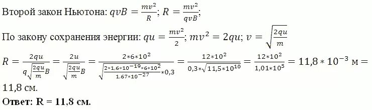
Протон пройдя ускоряющую разность