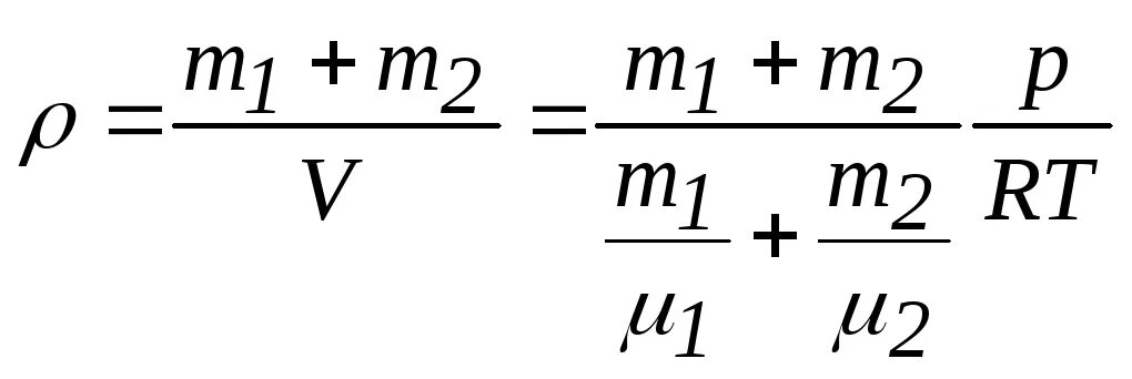
Проверить размерность