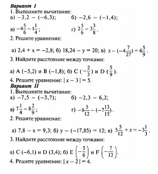
Проверочная вычитание рациональных чисел 6 класс