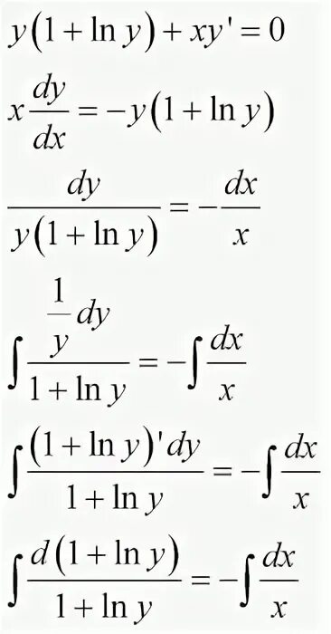
Прямая xy 2 0 xy 0