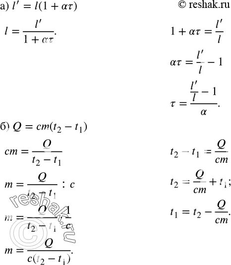
Q mc t2 t1