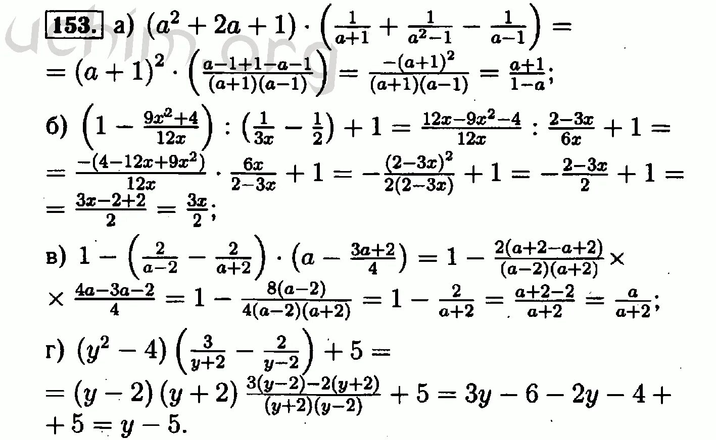
Р алгебра 8 класс