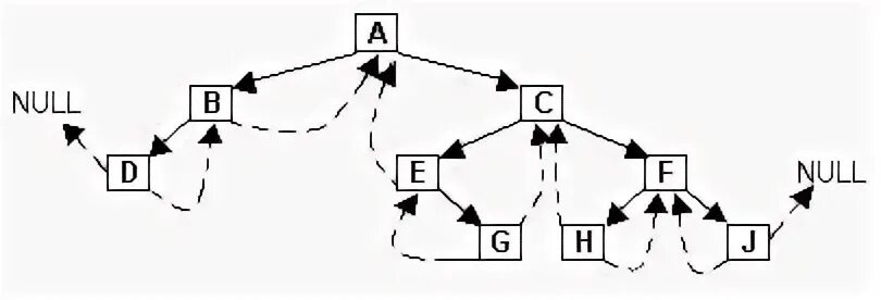
R node