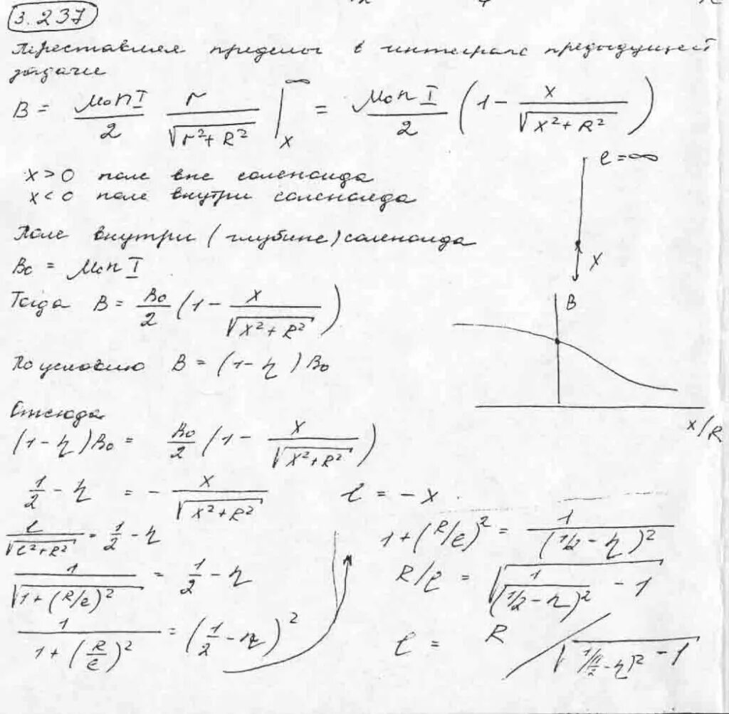
Радиус соленоида