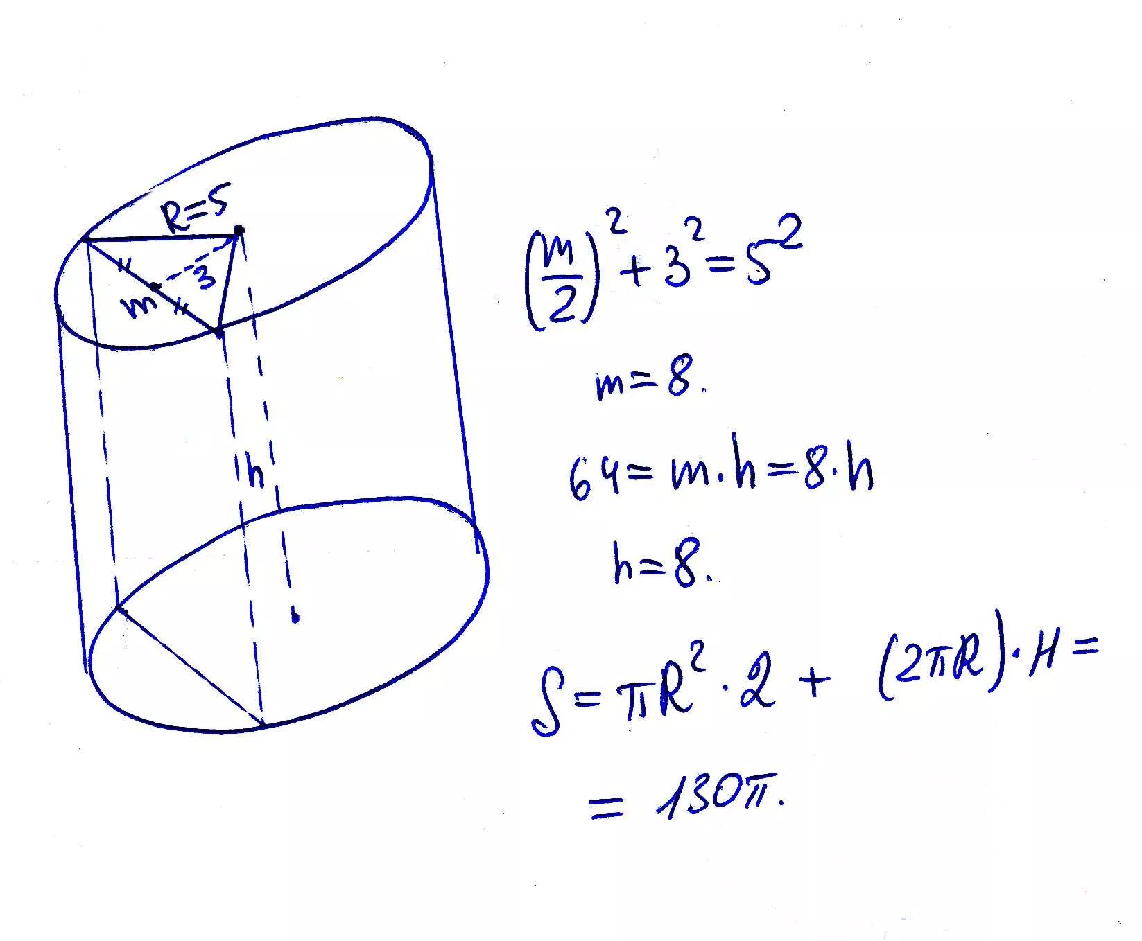
Радиус цилиндра 3 высота 8