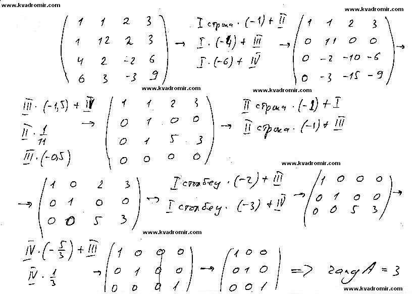
Ранг матрицы равен 2 если