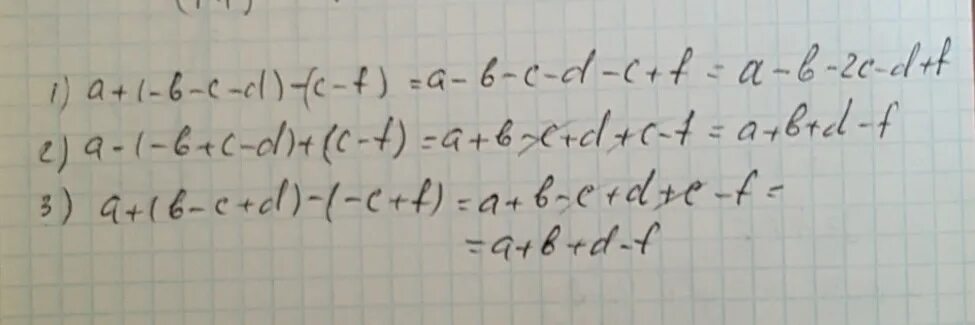
Раскройте скобки a b a d