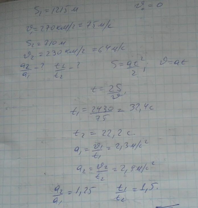
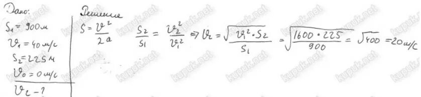
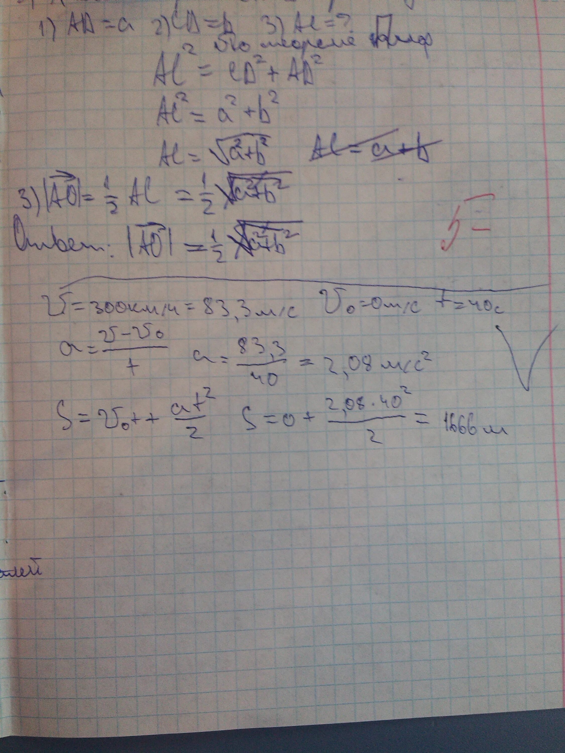
Рассчитайте длину взлетной полосы если скорость