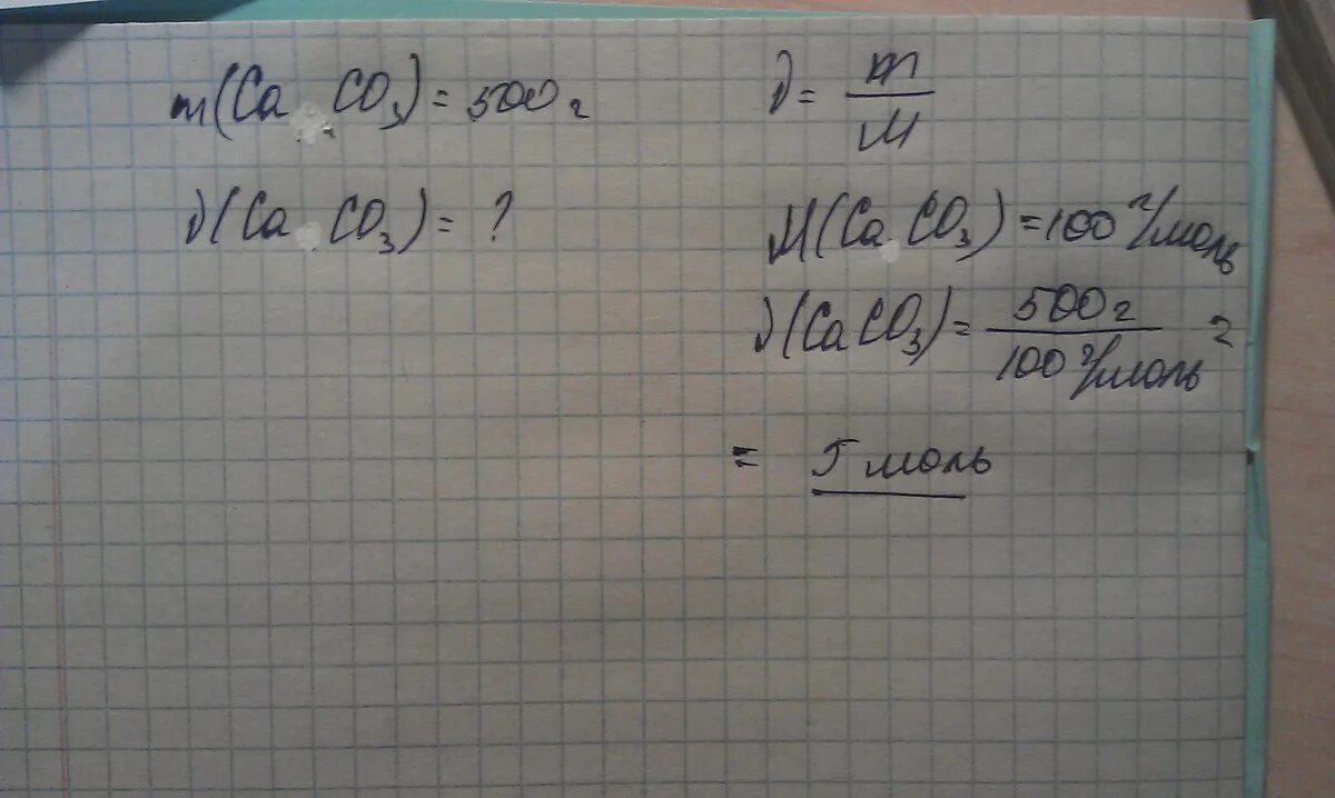
Рассчитайте относительную молекулярную массу caco3