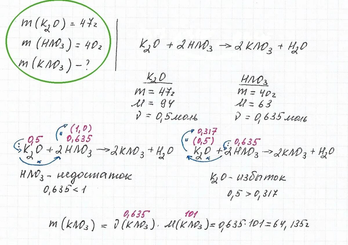
Раствор содержащий 34