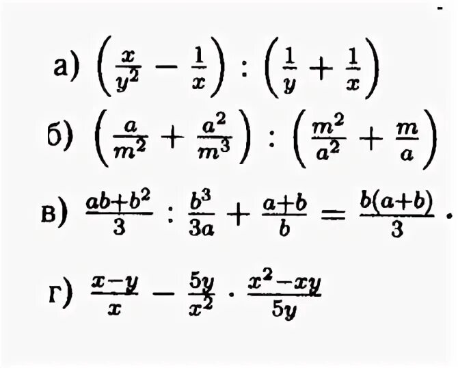
Рациональные выражения 8 класс видеоурок макарычев