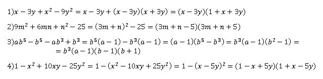
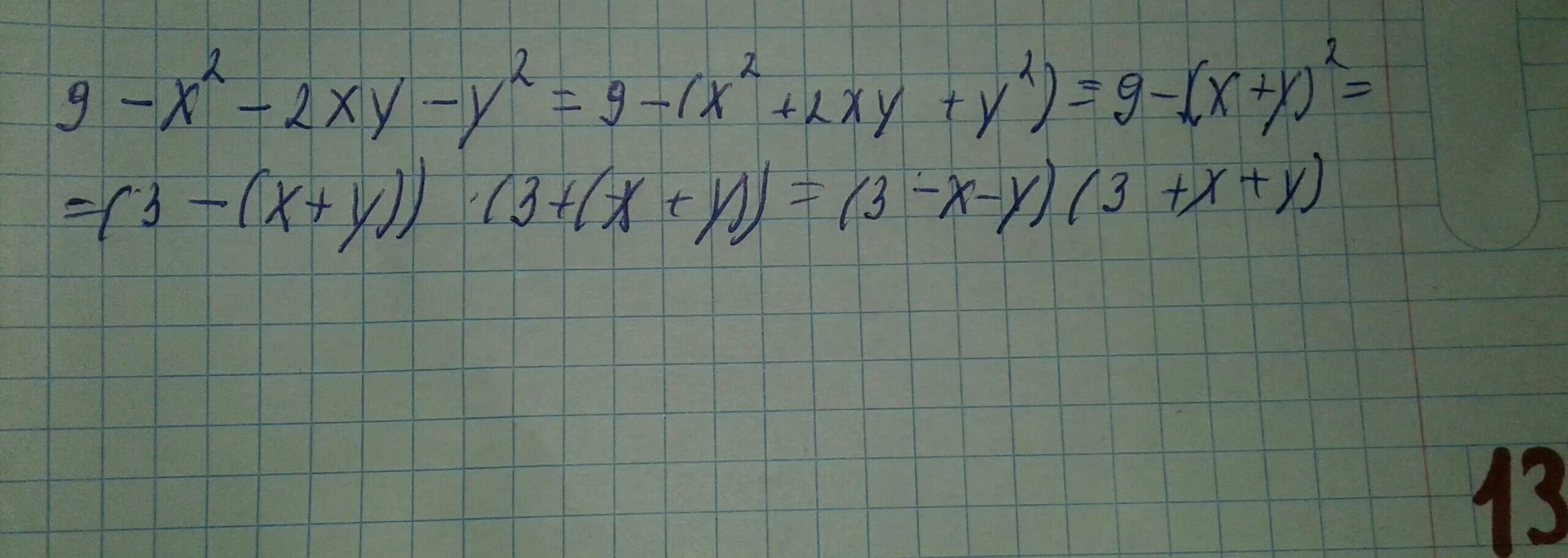
Разложить на множители x 9