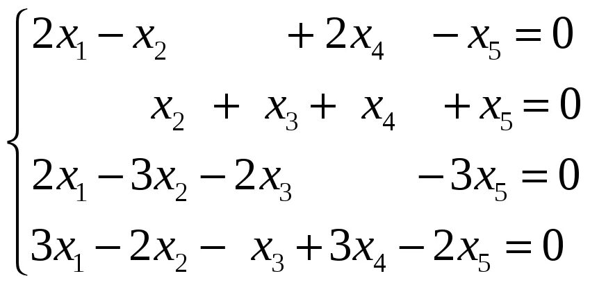
Размерность пространства решений однородной системы уравнений