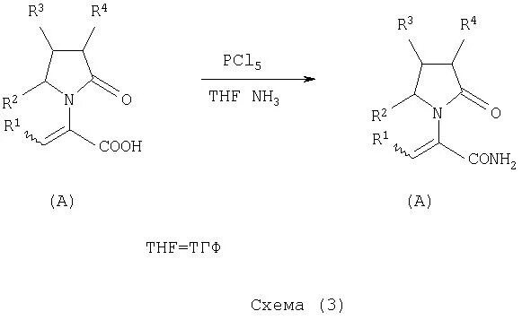
Реакции с pcl5