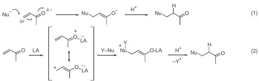
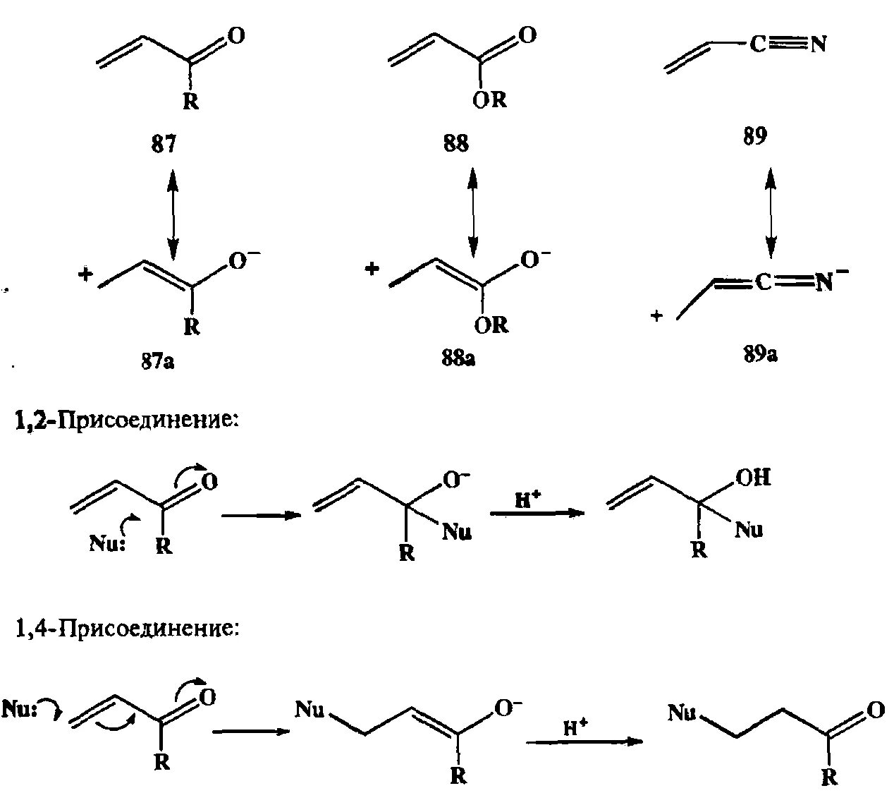
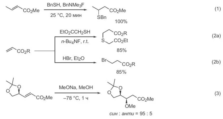
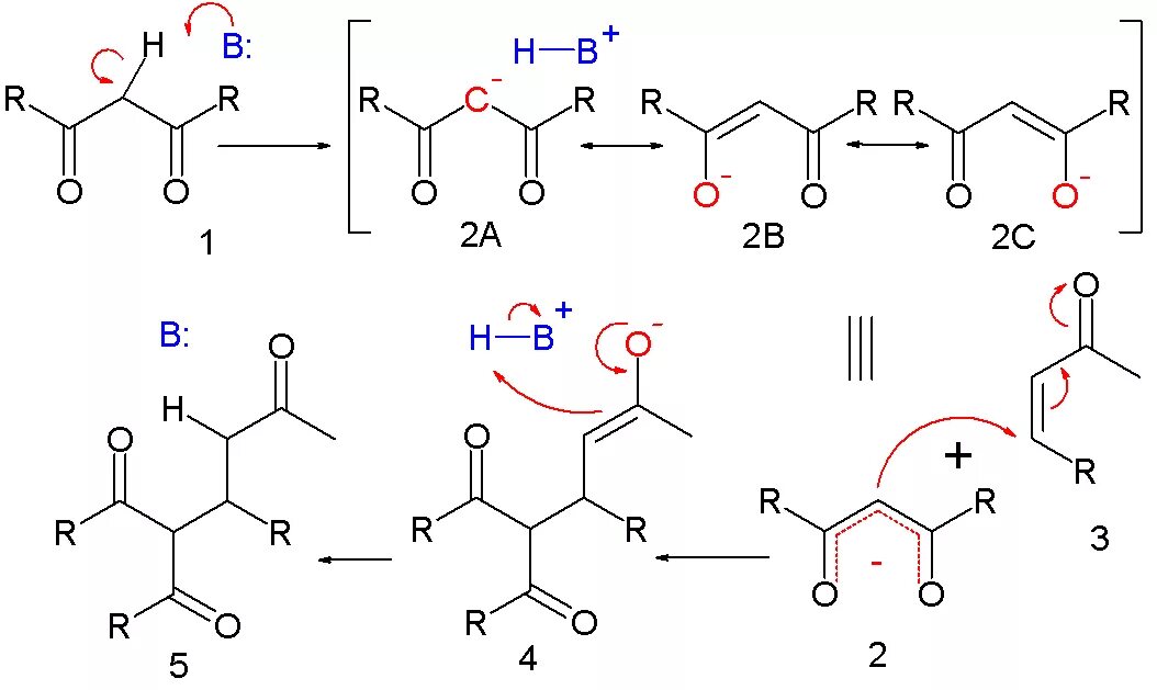
Реакция михаэля