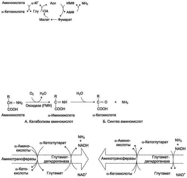
Реакция перемещения