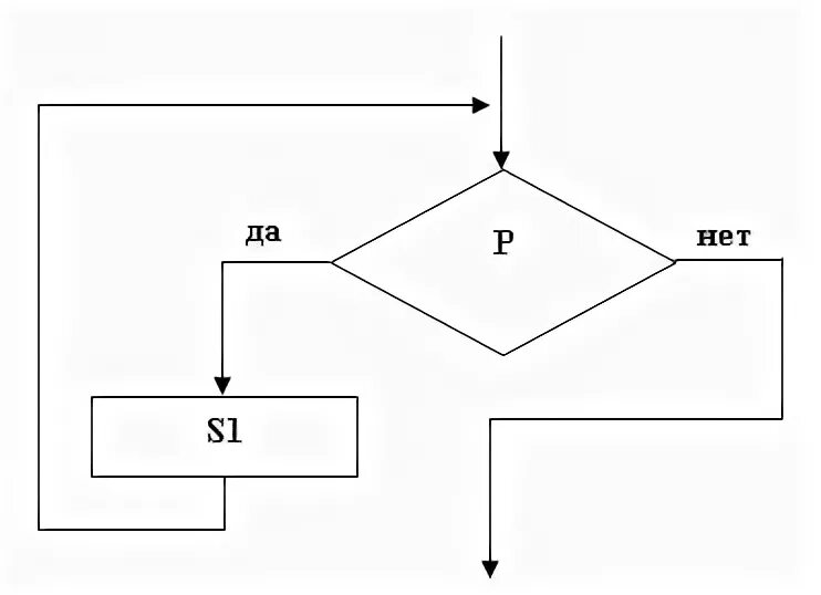
Рекурсия алгоритмы