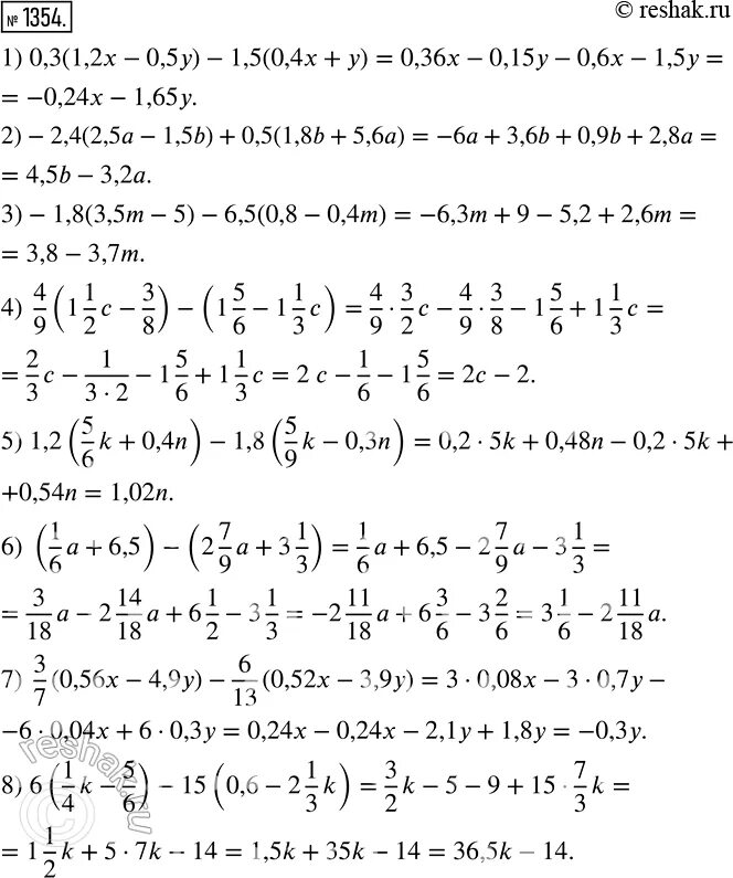
Решак 8 класс