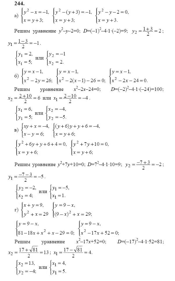
Решебник по алгебре 9 класс 2025