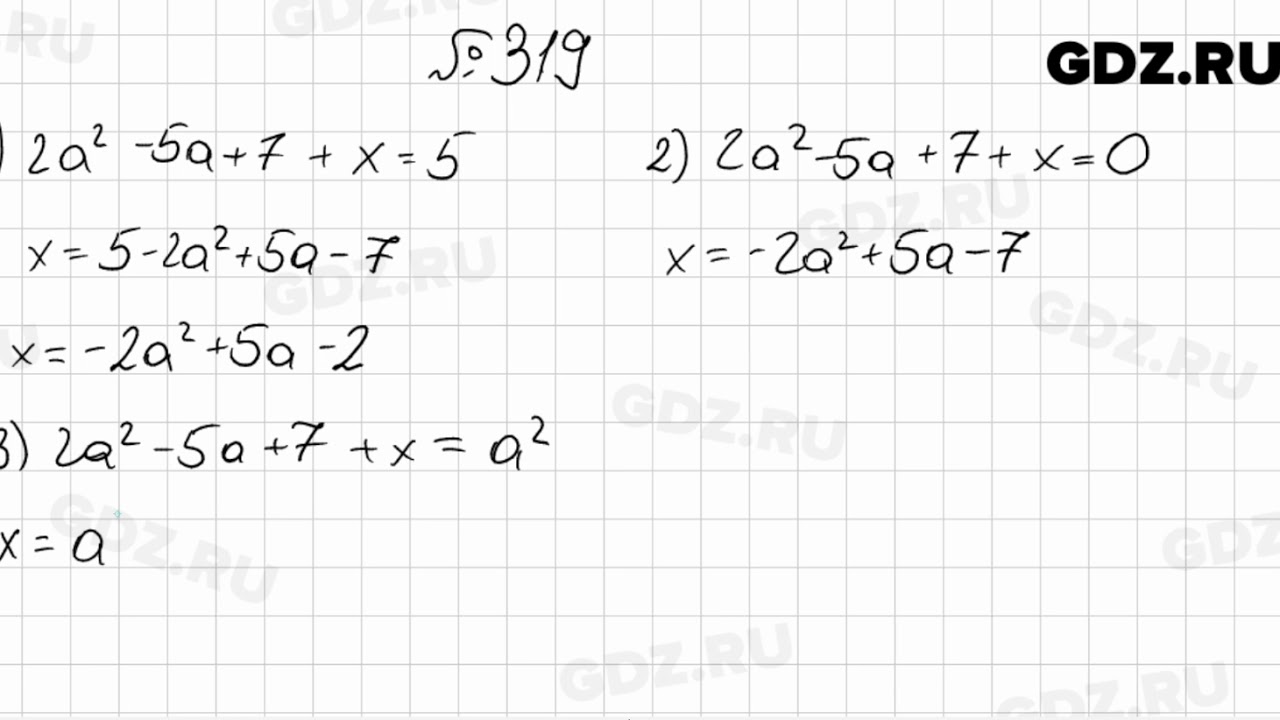
Решение 319