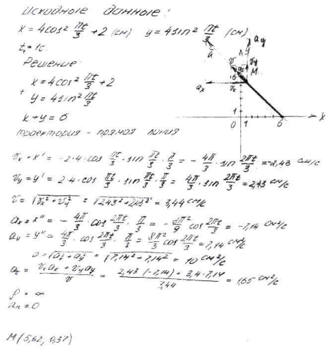
Решение к 2 вариант 1