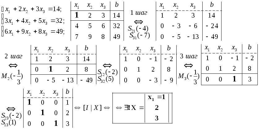
Решение методом жордана