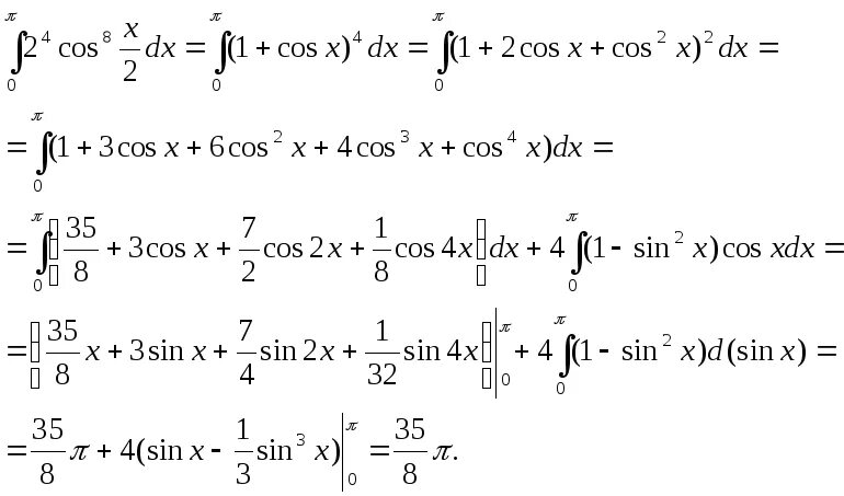
Решение определенных интегралов примеры