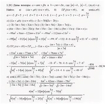
Решение п