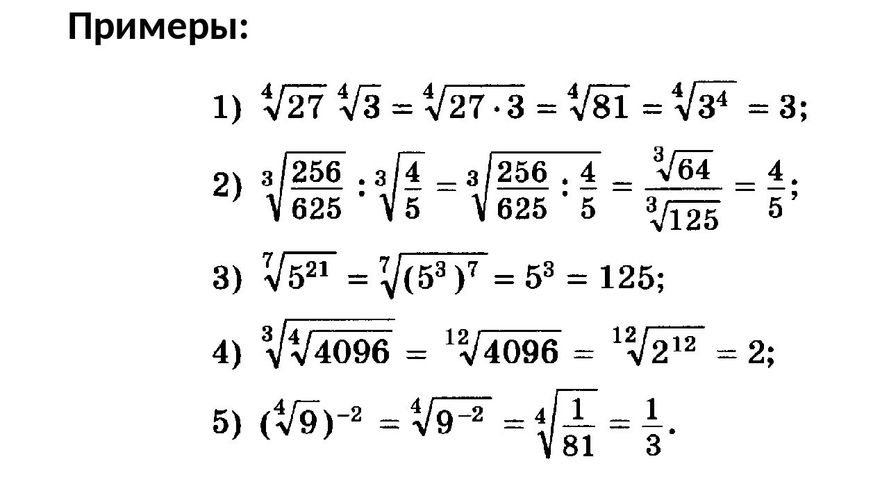
Решение примеров с корнями 8 класс