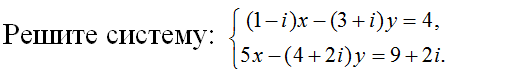
Решение систем комплексных чисел